لقد قمنا بتحضير هذا التقرير لاعطائكم فكرة اعزائي عن معنى مصطلح بلاك شولز Black-Scholes Model لتداول افضل وانجح! قم بقراءة التفاصيل ادناه
ما هو نموذج بلاك - شولز؟
يعد نموذج بلاك شولز، المعروف أيضًا باسم نموذج بلاك شولز ميرتون (BSM). أحد أهم المفاهيم في النظرية المالية الحديثة. فهو يقدم معادلة رياضية تحسب القيمة النظرية للمشتقات بناءً على أدوات الاستثمار الأخرى. أخذا في الاعتبار تأثير الوقت وعوامل المخاطرة الأخرى.
فهم آلية عمل نموذج بلاك - شولز
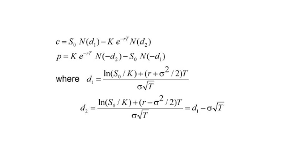
يفترض بلاك شولز أن الأصول المالية، مثل أسهم الأسهم أو العقود الآجلة. سيكون لها توزيع لوغاريتمي طبيعي للأسعار بعد مسيرة عشوائية مع التقلبات المستمرة. باستخدام هذا الافتراض وأخذ المتغيرات المهمة الأخرى في الاعتبار، تستمد المعادلة سعر خيار الشراء على النمط الأوروبي. تتطلب معادلة بلاك شولز خمس متغيرات، وهي:
- التقلبات السعرية
- سعر الأصل الأساسي
- سعر تنفيذ الخيار
- الوقت حتى انتهاء الخيار
- سعر الفائدة الخالي من المخاطر.

حيث إن:
- C = سعر خيار الشراء
- S = سعر المخزون الحالي (أو أي سعر أساسي آخر)
- K = سعر الإضراب
- r = سعر الفائدة الخالي من المخاطر
- ر = وقت الاستحقاق
- N = توزيع طبيعي
وباستخدام هذه المتغيرات، من الممكن نظريًا لبائعي الخيارات تحديد أسعار منطقية للخيارات التي يبيعونها.
الاسئلة الشائعة
متي تم تطوير نموذج بلاك شولز؟
تم تطوير نموذج بلاك شولز منذ عام 1973. ولا يزال أفضل طرق تسعير عقود الخيارات.
ما مدى دقة التسعير بنموذج بلاك شولز؟
على الرغم من كونه دقيقًا في العادة، إلا أن نموذج بلاك شول يضع افتراضات معينة قد تؤدي لانحراف الأسعار عن نتائج السوق الحقيقي.
لما لا يستخدم نموذج بلاك شولز في تسعير الخيارات الأمريكية؟
يستخدم نموذج بلاك شولز BSM القياسي فقط لتسعير الخيارات الأوروبية. وذلك لأنه لا يأخذ في الاعتبار إمكانية ممارسة الخيارات الأمريكية قبل تاريخ انتهاء الصلاحية.
ما هي افتراضات نموذج بلاك شولز؟
يعتمد نموذج بلاك شولز علي عدة افتراضات، وهي: إنه لا يتم دفع أي أرباح خلال مدة الخيار، كما أنه لا توجد تكاليف معاملات عند شراء الخيار. أيضا، يتم توزيع عائدات الأصول الأساسية بشكل طبيعي. والاسعار تتحرك في الأسواق عشوائية (أي لا يمكن التنبؤ بحركات السوق). علي جانب أخر، فإن معدل الخالي من المخاطر وتقلب الأصول الأساسية معروفان وثابتان. وأخيرا، الخيار لا يمكن ممارسته إلا عند انتهاء الصلاحية.